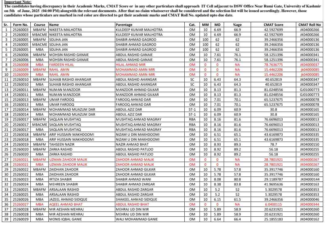
University of Kashmir General List for admission to Management Programmes for the session-2025.
WhatsApp Group Join Now
249 Teachers Transferred In jk
JKSSB Final Selection List Released for Sub Inspector (Finance Department) – Waiting List Announced
Teaching & Creative Jobs for Women at Dewan Devi Public School Jammu – Apply by June 10
University of Kashmir General List of candidates who have applied for admission to Management Programmes for the session-2025 :
https://kashmiruniversity.net/events/9856.pdf
