SKUAST-Kashmir released merit list for Accounts Assistant examination
WhatsApp Group Join Now
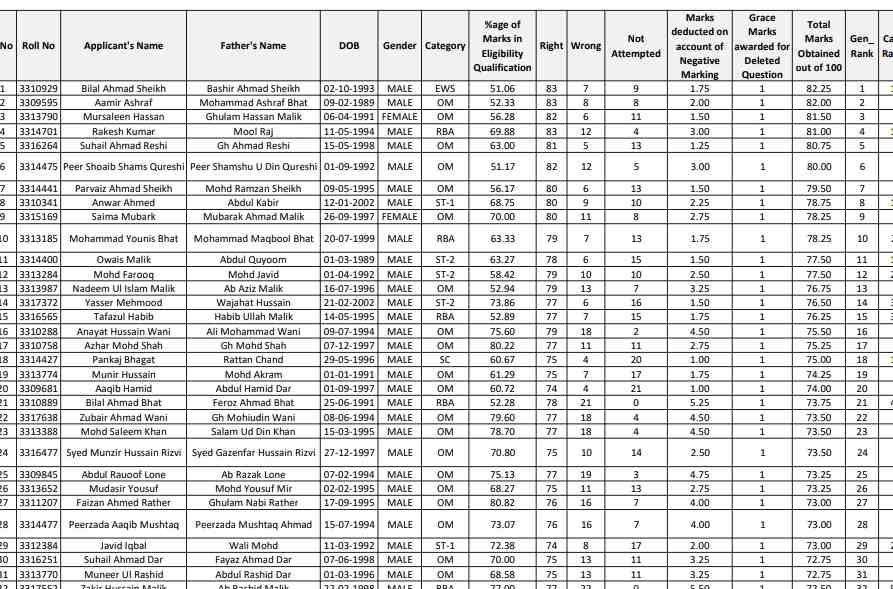
SKUAST-Kashmir has released the merit list for the Accounts Assistant examination. Candidates who appeared for the exam can check their results through the provided important links.
JKSSB Admit Card 2025: Download Notification for Upcoming Exams.
