UPSC Civil Services Prelims Result 2025 Declared :The Union Public Service Commission (UPSC) has officially announced the Civil Services Prelims Result 2025 on June 11, 2025. Candidates who appeared for the UPSC CSE Prelims exam on May 25, 2025, can now check their results on the official website – upsc.gov.in.
How to Check UPSC Prelims Result 2025?
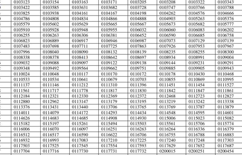
Follow these simple steps to verify your roll number:
- Visit the official UPSC website – upsc.gov.in.
- Click on the “UPSC Civil Services Prelims Result 2025” link on the homepage.
- A PDF file containing the roll numbers of qualified candidates will open.
- Search for your roll number and download the PDF for future reference.
Jk News today 5 year Old Boy Dies After Slipping into Stream
24 IAS And JKAS Officers Transfer and Posting in Jammu and Kashmir
Next Steps for Qualified Candidates
Candidates who have cleared the prelims must complete the following provisional requirements before appearing for the Mains Examination:
- Pay the Mains Exam Fee (₹200) – Exempt for Female/SC/ST/PwBD candidates.
- Update Scribe/Assistive Device Details (if applicable).
- Submit Gazette Notification (in case of name mismatch with educational certificates).
Deadline: The submission window will be open from June 16 to June 25, 2025.
Important Notes
- The results of four candidates (Roll Nos: 7004555, 6305469, 6413314, 6610122) have been withheld due to pending court cases.
- The UPSC CSE Mains 2025 dates will be announced soon.
🔗 Direct Link to Check UPSC Prelims Result 2025: Click Here
Stay updated for more details on the UPSC Civil Services Mains Exam 2025!
